稿件来源:高途
| 杂化轨道理论题目答案及解析如下,仅供参考!
选修三
第二章 分子结构与性质
第二节 分子的立体结构
杂化轨道理论
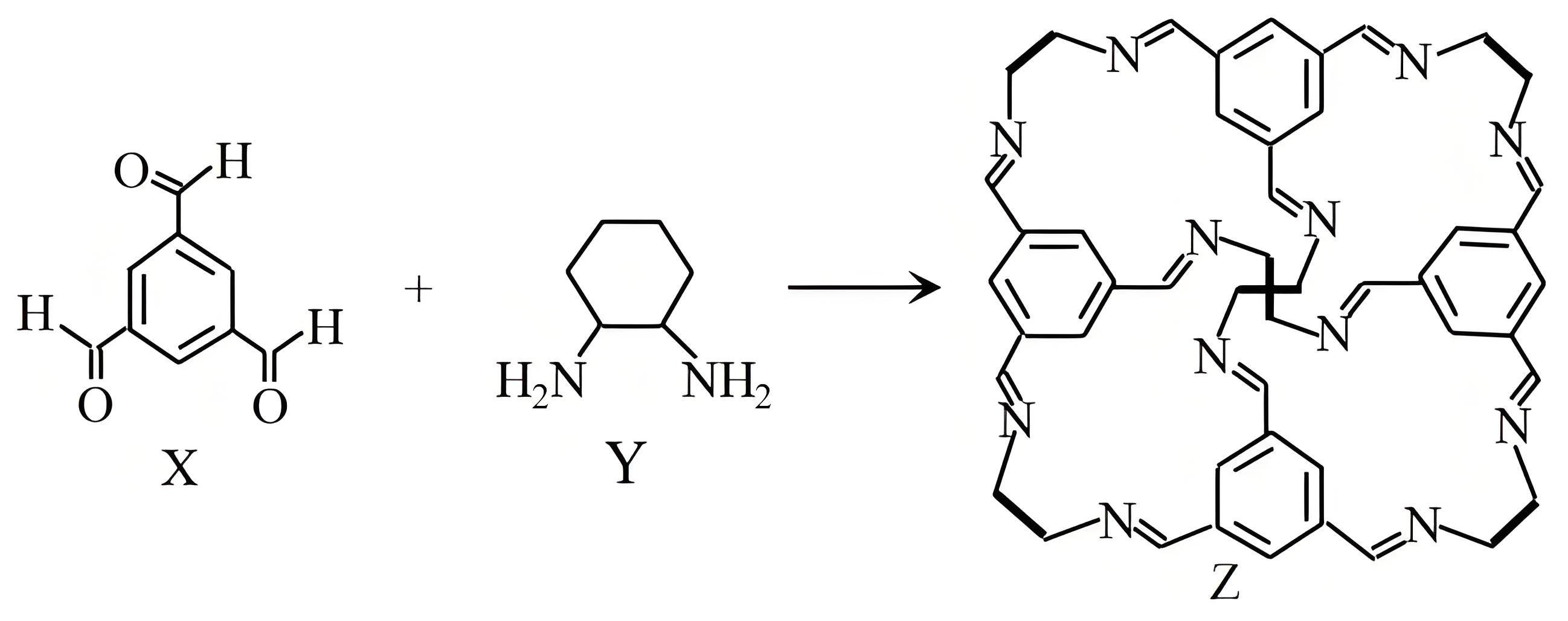
多孔有机笼 $\rm (POC)$ 代表了一类新兴的具有固有孔隙率的有机材料。由$\rm X$和$\rm Y$可合成多孔有机笼$\rm Z$。下列说法错误的是$(\qquad)$

$\\rm X$可与水形成氢键
","$\\rm Y$是由极性键和非极性键构成的极性分子
","$\\rm Z$中$\\rm N$原子的杂化方式只有$\\rm 1$种
","$\\rm X$与$\\rm H_{2}$完全加成后的产物为
,该产物分子中含$\\rm 3$个手性碳原子
$\rm A$.$\rm X$中的$\rm O$与$\rm H_{2}O$中的$\rm H$可以形成氢键,故$\rm A$正确;
$\rm B$.$\rm Y$中含有极性键和非极性键,分子中正负电荷中心不重合,是极性分子,故$\rm B$正确;
$\rm C$.$\rm Z$中$\rm N$原子的价层电子对都是$\rm 3$对,杂化方式都采用$\rm sp^{2}$,故$\rm C$正确;
$\rm D$.手性碳原子指连有$\rm 4$个不同原子或原子团的碳原子,
是高度对称结构,不含有手性碳原子,故$\rm D$错误;
答案选$\rm D$。
| 杂化轨道理论题目答案及解析(完整版)