高中 | 测量电源的电动势和内阻 题目答案及解析

稿件来源:高途

高中 | 测量电源的电动势和内阻题目答案及解析如下,仅供参考!

选修3-1

第二章 恒定电流

2.10 实验:测定电池的电动势和内阻

测量电源的电动势和内阻

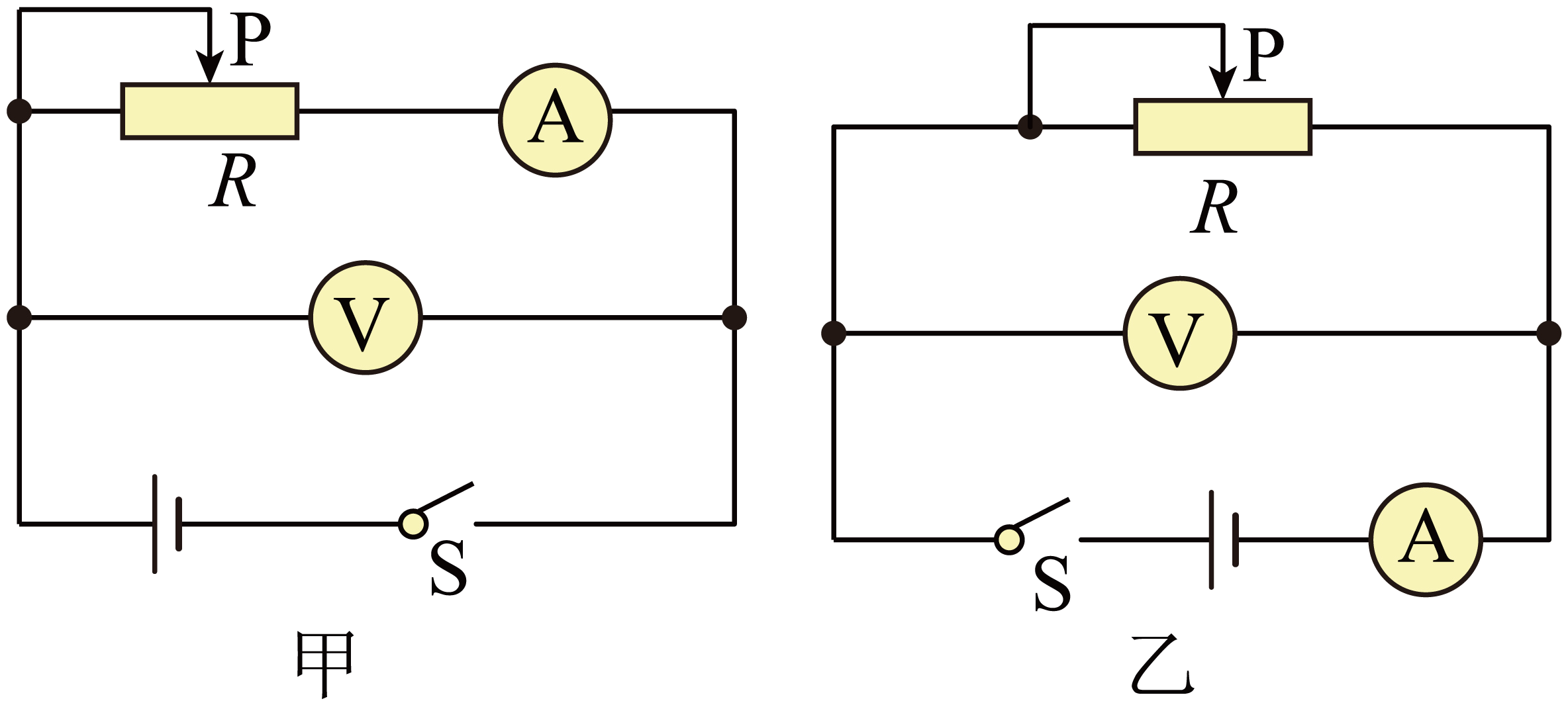
小明测定干电池的电动势和内阻,实验室有如下实验器材:干电池一节(电动势约为$1.5\;\rm V$),量程为$3.0\;\rm V$的电压表$\rm V$,量程为$0.6\;\rm A$的电流表$\rm A$,最大阻值为$20\;\rm \Omega$的滑动变阻器$R$,开关一个,导线若干。根据所学的知识回答下列问题:

  

有两种电路可供选择,若所测干电池内阻较小,为减小内阻测量的误差,实验电路应选择图                 (选填“甲”或“乙”)所示电路。

[["甲"]]

因所测干电池内阻较小,而图乙中电流表内阻对电源内阻的测量影响较大,则为减小内阻测量的误差,实验电路应选择图甲所示电路。

请你用笔画线,按正确的测量电路将图丙中的实物连接完整,测得多组电压表和电流表的示数,在$U-I$坐标纸上描点如图丁,请根据描出的点作图。

    

[["

图像见解析;

"]]

测量电路实物连接如图;

  

$U-I$坐标纸上描点作图如图;

  

闭合开关前将实物图中滑动变阻器的滑片移到最                 端(填“左”或“右”),闭合开关后移动滑动变阻器的滑片,测得多组电压表和电流表的示数,在$U-I$坐标纸上描点作图,请根据作图求出电源的电动势$E=$                 $\;\rm V$,测量值比真实值                 (填“偏大”“偏小”或“相等”);电源内阻$r=$                 $\;\rm \Omega$(结果保留小数点后两位),测量值比真实值                 (填“偏大”“偏小”或“相等”)。

[["右","$1.50$","偏小","$0.56$","偏小"]]

闭合开关前将实物图中滑动变阻器的滑片移到最右端;

根据作图求出电源的电动势$E=1.50\;\rm V$

电源内阻$r=\dfrac{1.5-1.0}{0.9}\ \Omega=0.56\;\rm \Omega$

由图甲所示可知,相对于电源来说,实验采用电流表外接法,由于电流表的分压作用,电压的测量值小于真实值,当外电路短路时,电流的测量值等于真实值,电源的$U-I$图像如图所示

  

由图像可知,电源电动势的测量值小于真实值,电源内阻的测量值小于真实值。

高中 | 测量电源的电动势和内阻题目答案及解析(完整版)

去刷题
今日推荐