高中 | 有机物结构的表示(结构式、球棍模型等) 题目答案及解析

稿件来源:高途

高中 | 有机物结构的表示(结构式、球棍模型等)题目答案及解析如下,仅供参考!

选修五

第一章 认识有机化合物

第二节 有机化合物的结构特点

有机物结构的表示(结构式、球棍模型等)

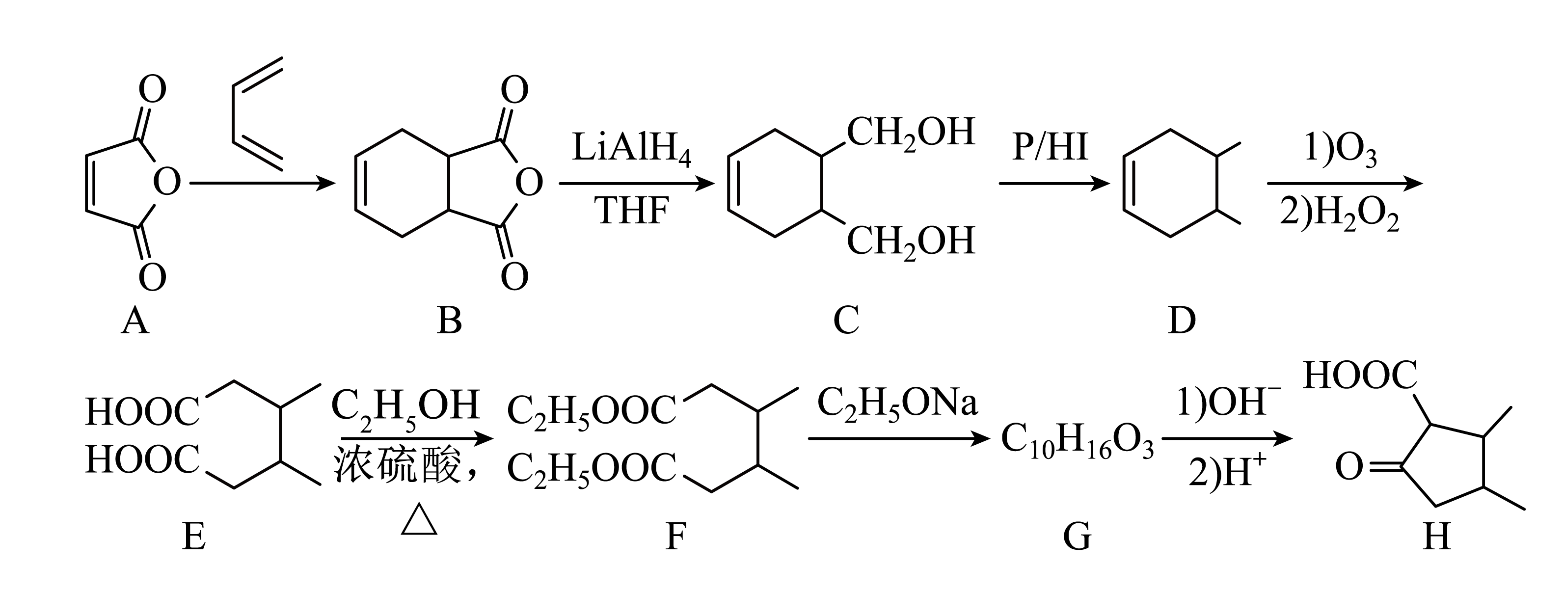
化合物$\rm H$是有机合成重要中间体,其合成路线如图:

已知:${{\text{R}}_{1}}\text{COO}{{\text{R}}_{2}}+{{\text{R}}_{3}}\text{C}{{\text{H}}_{2}}\text{COO}{{\text{R}}_{4}}\xrightarrow{\text{C}{{\text{H}}_{3}}\text{C}{{\text{H}}_{2}}\text{ONa}}$$+{{\text{R}}_{2}}\text{OH}$

的名称为                $\rm H$所含官能团的名称为                

[["

$\\rm 1$$\\rm 3-$丁二烯;(酮)羰基和羧基

"]]

的名称为$\rm 1$$\rm 3-$丁二烯,$\rm H$中官能团的名称为羧基、(酮)羰基;

$\rm A→B$的反应类型为                

[["

加成反应

"]]

$\rm A→B$的反应类型为加成反应;

$\rm E→F$的化学方程式为                

[["

$+2\\text{C}{{\\text{H}}_{3}}\\text{C}{{\\text{H}}_{2}}\\text{OH}\\underset{浓硫酸}{\\overset{\\triangle }{\\mathop{\\rightleftharpoons }}} 2{{\\text{H}}_{2}}\\text{O}+$

"]]

$\rm E$与两分子乙醇发生酯化反应生成$\rm F$,化学方程式为$+2\text{C}{{\text{H}}_{3}}\text{C}{{\text{H}}_{2}}\text{OH}\underset{浓硫酸}{\overset{\triangle }{\mathop{\rightleftharpoons }}} 2{{\text{H}}_{2}}\text{O}+$

$\rm G$的结构简式为                

[["

"]]

由分析可知$\rm G$的结构简式为

$\rm B$同时满足下列条件的同分异构体有                

①能与$\text{FeC}{{\text{l}}_{3}}$溶液发生显色反应

②能水解且能发生银镜反应

其中,核磁共振氢谱有五组峰,且峰面积之比为$2:2:2:1:1$的同分异构体的结构简式为                

[["

$\\rm 13$

"]]

$\rm B$的结构简式为,其同分异构体满足下列条件:

①能与$\rm FeCl_{3}$溶液发生显色反应,说明含有酚羟基;

②能水解且能发生银镜反应,说明含有甲酸形成的酯基;如果是两个取代基,结构为$\rm (3$种位置$\rm )$,如果是三个取代基,结构为$\rm (10$种位置$\rm )$,共有$\rm 13$种;其中核磁共振氢谱有五组峰,且峰面积之比为$2:2:2:1:1$的同分异构体的结构简式为

高中 | 有机物结构的表示(结构式、球棍模型等)题目答案及解析(完整版)

去刷题
今日推荐