高中 | 第一节 资源安全对国家安全的影响 题目答案及解析

稿件来源:高途

高中 | 第一节 资源安全对国家安全的影响题目答案及解析如下,仅供参考!

选择性必修三 资源、环境与国家安全

第二章 资源安全与国家安全

第一节 资源安全对国家安全的影响

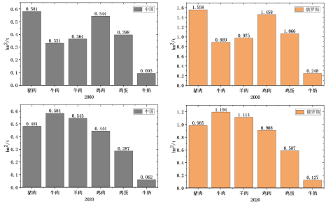
虚拟土地指生产商品和服务时投入的土地资源数量。下图表示2000年和2020年中俄畜牧业农产品虚拟土地含量(单位:公顷/吨)。完成下面小题。

 

关于图示信息的说法,正确的是(        )

["

俄罗斯的畜牧业发展水平低于中国

","

俄罗斯肉牛养殖的经济效益最高

","

中国奶牛的养殖规模小于俄罗斯

","

中国各类畜产品虚拟土地含量稳定

"]
[["A"]]

读图可知,中国各类畜牧业农产品虚拟土地含量均低于俄罗斯,说明中国的畜牧业发展水平高于俄罗斯,A正确。虽然牛肉的价格高于其他乳畜产品,但2020年俄罗斯牛肉产品中的虚拟土地含量最高,也无法从图中获知其他养殖成本的差异,因此无法确定肉牛养殖的经济效益的高低,B错误。无法从图中获知各类畜牧业农产品的养殖规模,C错误。除牛羊养殖外,中国其他畜牧业农产品虚拟土地含量均呈降低趋势,但牛肉的虚拟土地含量快速升高,D错误。故选A。

从资源安全的角度,我国宜从俄罗斯进口的畜牧业农产品是(        )

["

牛奶

","

牛肉

","

鸡肉

","

猪肉

"]
[["B"]]

读图可知,与2000年相比,2020年我国牛肉产品中的虚拟土地含量快速上涨,且高于其他畜牧业农产品,因此我国宜从俄罗斯进口牛肉,以减轻我国的土地压力,B正确,ACD错误。故选B。

导致我国牛肉虚拟土地含量变化的可能原因是(        )

["

肉牛品种退化

","

劳动力投入量减少

","

市场需求减少

","

精饲料使用量增多

"]
[["D"]]

读图可知,我国牛肉的虚拟土地含量快速升高。养殖肉牛需要使用精饲料配合粗饲料或者青绿饲料或者青贮饲料一起饲喂,这样才能让肉牛吃得饱,同时可以获得充足全面的营养,使肉牛可以更快地育肥,更早出栏,这样才能提高收益,促使我国牛肉的虚拟土地含量快速升高,D正确。随着农业科技的发展,肉牛品种会不断进步,A错误。劳动力投入的多少,不是导致我国牛肉虚拟土地含量变化的原因,B错误。随着社会经济发展,人们对牛肉的优质蛋白的认可度不断提高,牛肉的市场需求会增加,C错误。故选D。

高中 | 第一节 资源安全对国家安全的影响题目答案及解析(完整版)

去刷题
今日推荐